In un post su X che ha fatto 60 milioni di visualizzazioni in pochi giorni, Matt Shumer, fondatore di HyperWrite, sostiene che l'AI ha già cambiato il lavoro di chi la costruisce, e sta per fare lo stesso con tutti gli altri.
Non tra dieci anni. Forse entro la fine del 2026. Sicuramente entro il 2027.

Nel post Shumer racconta di come oggi descriva un'app in linguaggio naturale, vada a fare una passeggiata di quattro ore, e al ritorno trovi il codice scritto, testato e iterato dall'AI in autonomia.
Cita i dati di METR, l'organizzazione che misura l'autonomia reale dei modelli su task del mondo reale: un anno fa erano dieci minuti, poi un'ora, poi cinque ore.
E ricorda che quei benchmark non includono ancora Claude Opus 4.6 e i modelli rilasciati nelle ultime settimane.

Cita anche Dario Amodei, il CEO di Anthropic, che parla di modelli “sostanzialmente più intelligenti di quasi tutti gli umani in quasi tutti i task” in arrivo entro il 2026-2027, e di una possibile eliminazione del 50% dei colletti bianchi entry-level entro pochi anni.
Dati corretti? In parte sì. Tono apocalittico? Anche.
Il problema non è la sostituzione, è l'integrazione.
Noi in Datapizza lavoriamo ogni giorno con questi strumenti - LLM, RAG, agenti, workflow automatizzati - e la prospettiva dall'interno è diversa da quella di Shumer, anche se non opposta.
Il vero shift non è "l'AI fa il tuo lavoro al posto tuo".
È che un knowledge worker con AI batte sistematicamente un team senza AI.
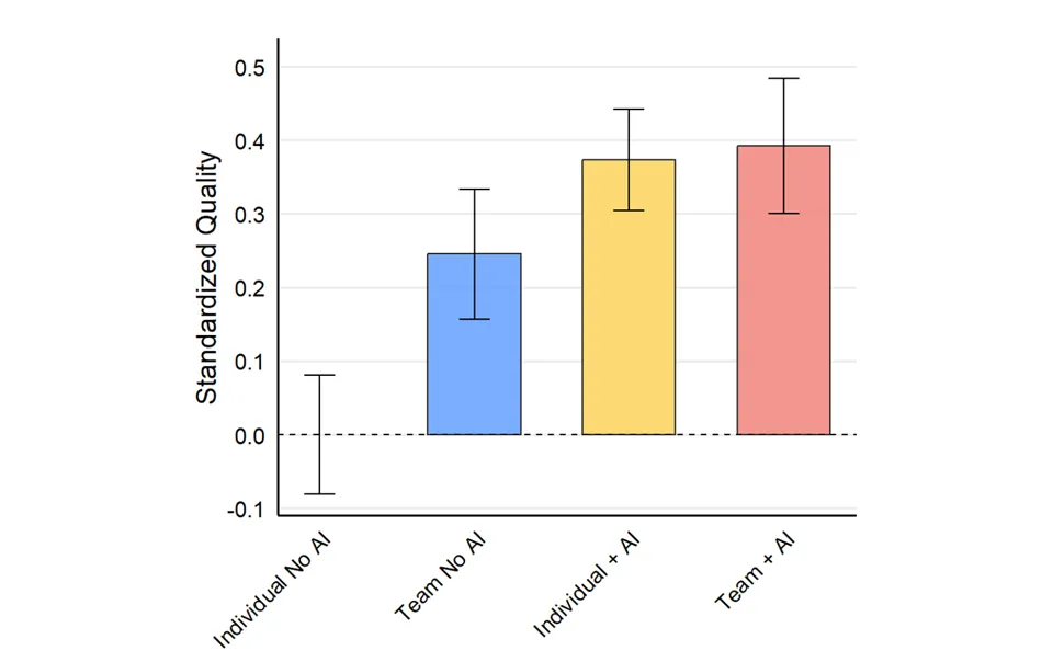
Lo diceva per primo uno studio di Ethan Mollick della Wharton University su 776 dipendenti di Procter & Gamble nel 2024, poi supportato da ulteriore letteratura.
Un singolo professionista con l’AI da “cybernetic teammate” performa meglio, più velocemente e con maggiore qualità di un team senza AI su task tipici di workflow aziendali.

E quello era il 2024, con modelli molto meno capaci di quelli attuali.
Questo non significa che i posti di lavoro spariscano dall'oggi al domani.
Significa che la produttività per persona esplode, e che le aziende avranno bisogno di meno persone per produrre lo stesso output.
La differenza è sottile ma importante.
IBM, per esempio, si è resa conto dei limiti di un'adozione AI troppo aggressiva e sta tornando ad assumere junior.
Perché se oggi assumi solo senior affiancati all'AI, tra 10 anni non hai nessun senior.
Nel frattempo, uno studio di Harvard su oltre 285.000 aziende americane ha osservato che le aziende preferiscono dare tool AI ai senior piuttosto che assumere junior da formare.
Più che sostituzione, è prevenzione delle assunzioni.
Il che è comunque un problema serio, sia dal punto di vista strategico che sociale.
Ok, ma cosa sta succedendo davvero?
Nelle ultime settimane sono usciti Claude Cowork, GPT-5.3-Codex, Claude Opus 4.6, Claude Sonnet 4.6 e Gemini 3.1 Pro.
Scott Wide, Head of Product di Anthropic, ha inaugurato il concetto di vibe working: se il vibe coding è assistere o delegare la scrittura di codice all'AI con istruzioni in linguaggio naturale, il vibe working è delegare interi (o quasi) workflow trasversali.
Non solo codice, ma analisi, decisioni, pipeline.
Spotify ha annunciato che i suoi migliori ingegneri non toccano codice da dicembre.
Google ha dichiarato che una quota crescente del nuovo codice è generata/assistita dall’AI (prima “oltre il 25%”, poi stime interne intorno al 50%).
Nvidia parla di un uso capillare di strumenti di vibe coding che hanno triplicato il volume di commit.
Questi non sono esperimenti: sono segnali di una transizione strutturale in corso.

Ma la via giusta non è né la resistenza, né la resa.
Shumer ha ragione su una cosa fondamentale: il rischio più grande non è che l'AI ti sostituisca.
È che tu, per paura, scetticismo o reazionarismo, ti sottragga dal definire il tuo ruolo in questo nuovo equilibrio.
L'AI non ha autonomia decisionale o volontà.
Non ha visione, né si prende responsabilità.
Non costruisce fiducia nel tempo.
Per questo la considero un moltiplicatore di competenze: se non c'è la competenza dell'utente, non moltiplica nulla.
Ma quando la competenza c'è, i risultati sono fuori scala.
E qui c'è anche un lato che fa meno paura di quanto sembri: togliere il lavoro meccanico o noioso dal workflow di un knowledge worker non è solo efficienza.
È liberare spazio per quello che solo gli esseri umani sanno fare: dare senso, scegliere la direzione, assumersi responsabilità, implementare una visione.
Forse suona idealista, ma è anche concretamente quello che sta succedendo nelle aziende che la integrano bene.
Il vero problema è la velocità con cui tutto questo sta accadendo e la difficoltà strutturale di stare al passo con il cambiamento sociale più grosso dall’avvento di Internet.
Vedremo se ha ragione Shumer o no.
Intanto, se ti occupi di AI Transformation, dai un’occhiata a Dual Intelligence, la nostra suite di soluzioni AI che mantengono l’umano al centro.
Giacomo Ciarlini - CIO - Datapizza
Simone Conversano - AI Adoption Specialist - Datapizza