Potenzia la tua workforce con l’AI
Aumenta radicalmente le capacità della tua organizzazione con l’AI Generativa
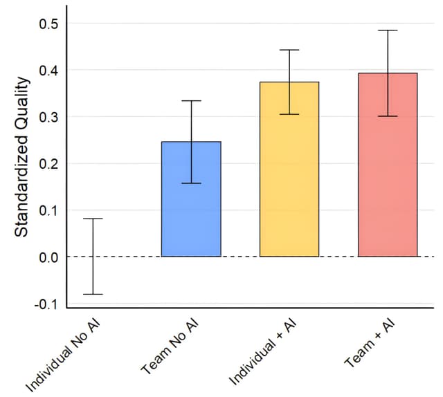
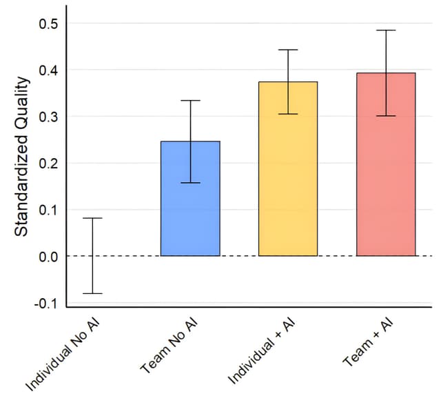
L’AI migliora davvero la produttività?
I dati dimostrano che
Le persone che usano l’AI migliorano radicalmente le loro capacità:
Possono performare meglio di un team intero
Ottengono risultati migliori e più in fretta sul lavoro
Hanno un affiancamento esperto e costante nelle attività
+15%
Risultati+40%
Qualità+25%
VelocitàNonostante questo, le aziende faticano a catturare benefici importanti
Questo accade per diversi motivi
Frammentazione
L’AI viene spesso adottata in modo sperimentale e scollegato dai processi core, senza generare un vero cambiamento strutturale.
Diffidenza
I dipendenti non conoscono l’AI né i suoi limiti, e l’assenza di un linguaggio condiviso ostacola la collaborazione tra team.
Disorientamento
Le aziende faticano a scegliere con chiarezza strumenti e use case, rischiando soluzioni isolate e prive di visione d’insieme.
Sovraccarico
È difficile orientarsi tra numerosi Tool e soluzioni AI a causa del bombardamento di prodotti e nuove funzioni dell’AI.
Anche se la produttività individuale aumenta...
Senza un’adozione strutturata i benefici non si traducono in impatto economico.
Per questo tutti parlano di AI, ma in pochi la usano davvero
Integrare l’AI non è scrivere un semplice prompt.
Significa andare oltre l’intuizione e costruire competenze solide.
Trasformando il modo di pensare, agire e prendere decisioni.
Il nostro impatto fino ad oggi
Abbiamo aiutato più di 100 aziende ad adottare l’AI in modo concreto ed efficace, ottenendo un impatto profondo e misurabile, fin da subito.
+100
aziende di diversi settori e dimensioni
+12K
persone formate all'uso efficace dell'AI
5.5h
risparmiate ogni settimana per attività ripetitive

Come possiamo aiutarti?
Leadership team
Ti affianchiamo nella definizione di strategie AI efficaci, aiutando a prendere decisioni consapevoli, sostenibili e orientate all’impatto.
Team operativi
Trasformiamo i processi aziendali sviluppando competenze pratiche per integrare efficacemente l'AI nei workflow quotidiani, con risultati concreti e misurabili per ogni area funzionale.
Popolazione aziendale
Progettiamo percorsi di awareness e formazione per coinvolgere tutta l'organizzazione verso una comprensione pratica dell'AI, creando le basi culturali per una trasformazione di successo.
Leadership team
Ti affianchiamo nella definizione di strategie AI efficaci, aiutando a prendere decisioni consapevoli, sostenibili e orientate all’impatto.
Team operativi
Trasformiamo i processi aziendali sviluppando competenze pratiche per integrare efficacemente l'AI nei workflow quotidiani, con risultati concreti e misurabili per ogni area funzionale.
Popolazione aziendale
Progettiamo percorsi di awareness e formazione per coinvolgere tutta l'organizzazione verso una comprensione pratica dell'AI, creando le basi culturali per una trasformazione di successo.
Siamo il partner per l'AI adoption
Dalla strategia all'implementazione: accompagniamo la tua azienda nell'adozione dell'AI con un approccio strutturato e scalabile.
Assessment
Guida strategica
Soluzioni pratiche
Esperti a disposizione
Una soluzione su misura per la tua realtà
Abbiamo lavorato con grandi multinazionali, startup, PMI, fondi di investimento e centri di ricerca, sviluppando un nostro modello scientifico di adozione dell’AI, mettendo le persone al centro, che funziona davvero.
Il nostro approccio
Concreto
Lavoriamo con approcci pratici e casi reali per aiutare ogni persona a usare l’AI nei propri flussi quotidiani, in modo immediato ed efficace.
Su misura
Costruiamo percorsi formativi su misura, pensati per i processi e le esigenze reali della tua azienda, rendendo l’adozione dell’AI davvero applicabile.
Data driven
Monitoriamo l’impatto reale dell’AI nei processi aziendali, analizzando comportamenti, utilizzo e metriche per guidare decisioni basate sui dati.
Supporto continuo
Ti accompagniamo per valutare l’adozione dell’AI, supportando team e manager con feedback, strumenti e azioni mirate a migliorare l’efficacia.
Esperienze reali di
adozione AI



















