Ormai sai quanto ci tengo a raccontarti i benefici che può avere un’azienda dall’introduzione della GenAI.
Ecco, pochi giorni fa è uscita una ricerca super interessante sull’impatto che l’utilizzo dell’AI ha all’interno dei team e volevo parlartene. 🙌
La ricerca si chiama:
*”**The Cybernetic Teammate: A Field Experiment on Generative AI Reshaping Teamwork and Expertise**”.*

Ti spiego meglio di cosa si tratta e ti lascio dei consigli pratici sull’introduzione dell’AI in azienda.
Alcuni ricercatori di Harvard hanno fatto un esperimento insieme a Procter & Gamble, coinvolgendo 776 professionisti tra *commerciali* e *specialisti R\&D* da Europa e USA.
Capiamo meglio l’esperimento:
In pratica, hanno diviso le persone in team facendole lavorare per una giornata intera su progetti reali (ad es. sviluppo prodotti) usando in alcuni casi l’AI (GPT-4 / GPT-4o).
E i risultati? 🤔
Allora, alcuni me li aspettavo, altri invece mi hanno sorpreso. 👀
Vediamoli uno per uno👇
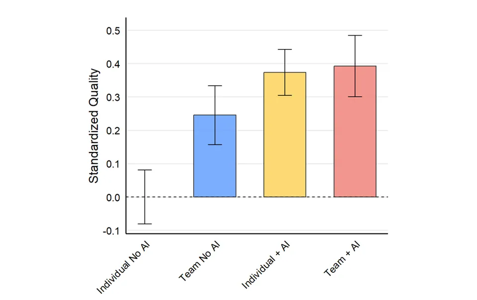
📌 Una persona sola con l’AI performa meglio di un team intero senza AI
Un team performa meglio di chi lavora da solo.
E fin qui ok…è chiaro che un team riesce ad avere più spunti.
Ma il risultato veramente figo sai qual è?
Che una persona sola che usa l’AI performa meglio di un team intero che non usa l’AI.

Ora pensa ad un team intero che utilizza l’AI 🤯
📌 I team che usano l’AI ottengono performance molto alte
L’effetto più potente si è visto quando le persone hanno lavorato in team e contemporaneamente utilizzato l’AI.
Infatti l’output di questi team rientrava nella top 10% delle idee col punteggio più alto in termini di qualità.

E non solo…
Con l’AI si lavora meno.⏳
I team che hanno utilizzato l’AI hanno ridotto il tempo totale di lavoro del 12-16%, producendo documenti più dettagliati dei colleghi che non hanno usato l’AI.
Ma c’è un altro effetto interessante…
Come ti ho detto all’inizio, i vari team erano un mix tra esperti R\&D e Commerciali, no?
Ed è chiaro che i primi propongono soluzioni tecniche, mentre i secondi soluzioni più focalizzate sul mercato.
Quando però entra in campo l’AI, questa differenza sparisce.
Una persona sola che utilizza l’AI produce degli output che sono multidisciplinari, come se fosse esperta in entrambi i campi.

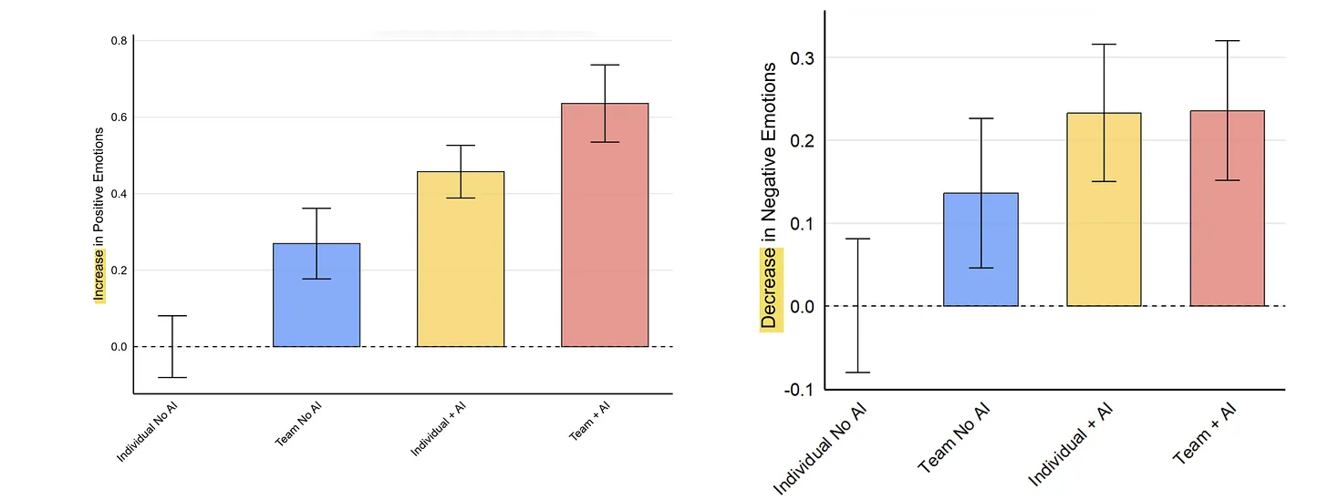
Chiudo con un ultimo risultato legato all’emotività.
Le persone che hanno usato l’AI hanno avuto molti *meno momenti di stress e frustrazione*, e hanno riportato invece emozioni positive come entusiasmo e energia.

Ok, questi sono i punti della ricerca che volevo toccare. 🔍
Ormai è innegabile che l’AI porti tanti vantaggi.
Ma non è così semplice introdurla in azienda.
Infatti è importante capire come ristrutturare il lavoro, la formazione e i processi per trovare il modo migliore di integrarla.
Proprio per questo voglio lasciarti alcuni consigli pratici che derivano da tutto il lavoro che facciamo con il team di AI Adoption di Datapizza. 🍕
In Datapizza facciamo tante cose.
Una tra queste è aiutare le aziende nella loro AI Transformation, ossia capire come integrare l’AI in azienda.
Ecco come le aiutiamo noi👇
1️⃣ All’inizio facciamo un’introduzione che tocca i seguenti temi: intro e storia dell’AI, distinzione tra Machine Learning e GenAI, come funziona un LLM, limiti e rischi di utilizzo (dati, allucinazioni, calcoli).
Magari qualcuno ha già letto qualcosa a riguardo ma questa fase è fondamentale per “*mettere tutti sulla stessa pagina*”.
2️⃣ Panorama dei modelli e dei tool AI: facciamo una panoramica aggiornata ad oggi sui tool AI “pronti all’uso” (sì, modifichiamo le slide ogni settimana 😂).
Qua è importante mostrare le funzionalità non ovvie, come: Deep Research, scrittura ed esecuzione di codice (es. Claude Code).
3️⃣ Uso pratico dei tool AI: dividiamo le persone in gruppi e forniamo loro una lista di tool frequenti per fargli fare degli esercizi pratici.
Altri temi secondo noi super importanti da toccare sono: bias ed etica dei modelli, sicurezza dei dati e trend presenti e futuri (agenti, multimodalità, impatto energetico)…
Consiglio extra: alle persone verrà naturale "cercare di fare domande di tipo filosofico" e ampliare il discorso, bisogna però fermarle e riportarle all'uso pratico degli strumenti, sennò non se ne esce più.
Bene, spero che questa “micro guida” ti possa essere comoda.
PS: l’anno scorso ho tenuto una giornata di workshop esattamente a Procter & Gamble (ovviamente la branch italiana).
È stata una giornata con una cinquantina di partecipati di varie unit, che avevano ruoli e lavori diversi, ma un unico obiettivo comune: capire come usare la GenAI per accelerare il loro lavoro e diventare i famosi “centauri” di cui parla Ethan Mollick.
Consiglio importante: se prepari una giornata di questo tipo, dove le persone devono mettere le mani in pratica negli strumenti AI, assicurati di rendere l’esperienza altamente rilevante per chi la vive…
Io ogni volta che faccio cose di questo tipo studio maniacalmente il materiale e i workflow delle persone coinvolte, e provo a “ridisegnarli” tenendo conto dell’AI, sotto forma di chatbot come Copilot.
Queste sono solo alcune delle domande che ci poniamo quando disegniamo questo genere di attività per le aziende…
Ma potrei parlarne per ore, quindi mi fermo qua 😀
Poi, se nella tua azienda vuoi introdurre l’AI generativa facendolo in modo efficace e responsabile, scrivimi un messaggio su LinkedIn e ne parliamo, vediamo come possiamo aiutarti 🙂
E se vuoi restare aggiornato/a sulle ultime news, seguici sui nostri canali social.
Facciamo tutti i giorni dei post su tematiche AI ✌️
📌 YouTube
📌 Podcast
📌 Telegram
***
Giacomo Ciarlini - Head of Content & Education - Datapizza
Alexandru Cublesan - Media Manager & Creator - Datapizza